✨Sách - Tuyển Tập 38 Đề Ôn Thi Tốt Nghiệp Lớp 12 - Môn Toán

Tuyển Tập 38 Đề Ôn Thi Tốt Nghiệp Lớp 12 - Môn Toán Bắt đầu từ năm học 2024 – 2025 học sinh lớp 12 tho tốt nghiệp môn Toán theo cấu trúc mới. Đây là một phương pháp khá hay để đánh giá toàn ...

mua sản phẩm tại ShopeeMua tại Shopeemua sản phẩm tại TikiMua tại Tikimua sản phẩm tại LazadaMua tại Lazadamua sản phẩm tại TiktokMua tại Tiktok
Sách - Tuyển Tập 38 Đề Ôn Thi Tốt Nghiệp Lớp 12 - Môn ToánSách - Tuyển Tập 38 Đề Ôn Thi Tốt Nghiệp Lớp 12 - Môn ToánSách - Tuyển Tập 38 Đề Ôn Thi Tốt Nghiệp Lớp 12 - Môn ToánSách - Tuyển Tập 38 Đề Ôn Thi Tốt Nghiệp Lớp 12 - Môn ToánSách - Tuyển Tập 38 Đề Ôn Thi Tốt Nghiệp Lớp 12 - Môn ToánSách - Tuyển Tập 38 Đề Ôn Thi Tốt Nghiệp Lớp 12 - Môn ToánSách - Tuyển Tập 38 Đề Ôn Thi Tốt Nghiệp Lớp 12 - Môn ToánSách - Tuyển Tập 38 Đề Ôn Thi Tốt Nghiệp Lớp 12 - Môn ToánSách - Tuyển Tập 38 Đề Ôn Thi Tốt Nghiệp Lớp 12 - Môn ToánSách - Tuyển Tập 38 Đề Ôn Thi Tốt Nghiệp Lớp 12 - Môn ToánSách - Tuyển Tập 38 Đề Ôn Thi Tốt Nghiệp Lớp 12 - Môn Toán

Tuyển Tập 38 Đề Ôn Thi Tốt Nghiệp Lớp 12 - Môn Toán

Bắt đầu từ năm học 2024 – 2025 học sinh lớp 12 tho tốt nghiệp môn Toán theo cấu trúc mới. Đây là một phương pháp khá hay để đánh giá toàn diện năng lực và học sinh sẽ phải học hiểu đúng bản chất kiến thức, tránh học vẹt, học tủ."

Nhằm tạo điều kiện cho Học sinh có nguồn tài liệu ôn tập cũng như Giáo viên có nguồn tài liệu tham khảo. Chúng tôi biên soạn cuốn sách TUYỂN TẬP 38 ĐỀ ÔN THI TỐT NGHIỆP LỚP 12 MÔN TOÁN. Cấu trúc cuốn sách gồm 38 đề ôn và sau đó là đáp án và lời giải 38 đề. Mỗi đề gồm có 3 phần theo đúng cấu trúc mới của BGD:

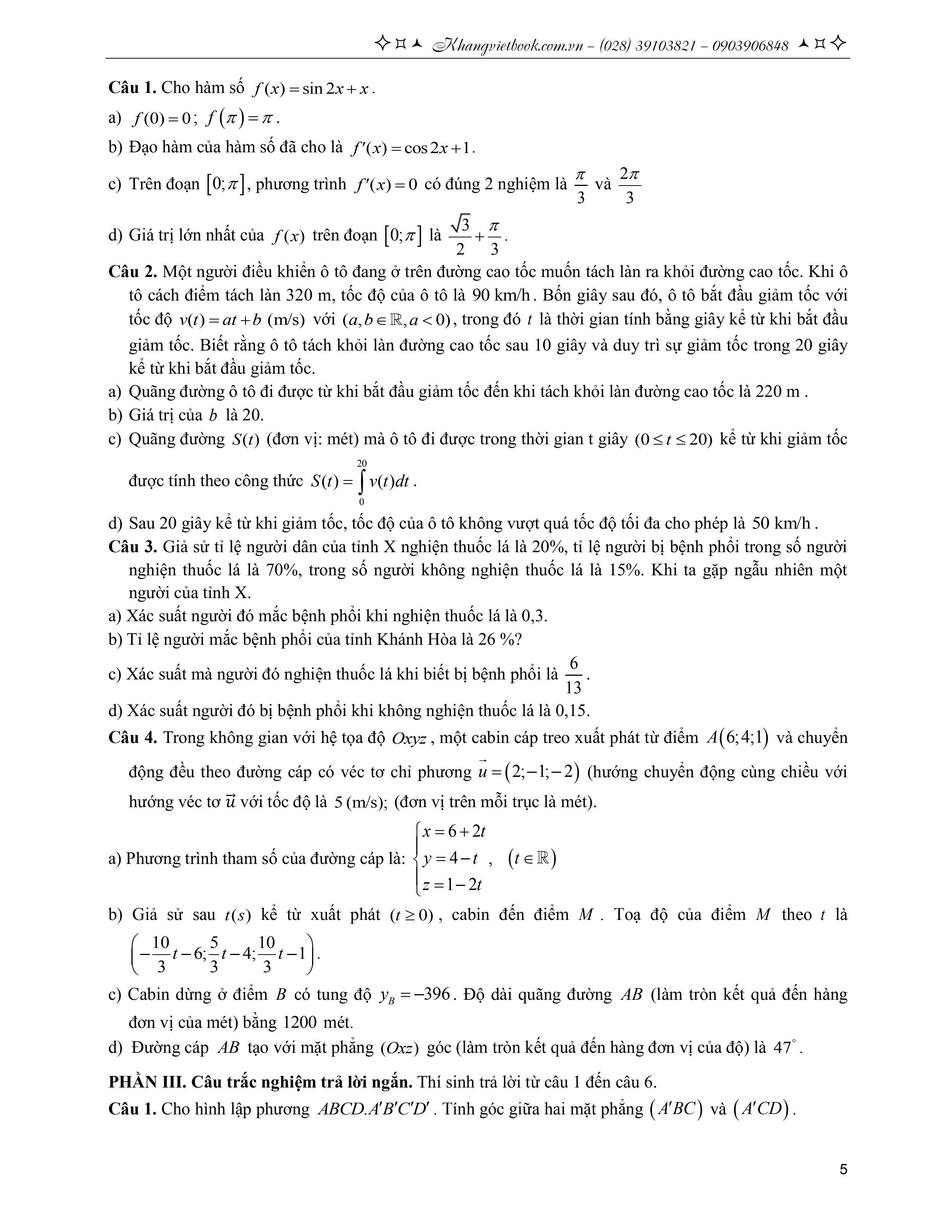
Phần 1. Trắc nghiệm nhiều phương án.

Phần II. Trắc nghiệm đúng sai.

Phần III. Trả lời ngắn.

Phần 1 có nội dung kiến thức nhận biết thông hiểu nên sách chỉ hướng dẫn giải những câu và những nội dung cần chú ý. Phần II và III có giải chi tiết và có nhiều bài toán hay, độc và lạ để Học sinh ôn luyện nhưng nội dung vẫn bám sát theo cấu trúc mới của BGD.

Cuốn sách được trình bày ngắn gọn, rõ ràng ràng với một lượng bài tập phù hợp và tương đối đầy đủ các dạng toán sẽ xuất hiện trong đề thi tốt nghiệp. Vì vậy đây là một tài liệu bổ ích để Học sinh có kiến thức vững chắc trước khi thi tốt nghiệp.

mua sản phẩm tại ShopeeMua tại Shopeemua sản phẩm tại TikiMua tại Tikimua sản phẩm tại LazadaMua tại Lazadamua sản phẩm tại TiktokMua tại Tiktok
Bộ Sách Ma Đạo Tổ Sư - bản tái bản 2025 Ngày phát hành 2025 Tên Nhà Cung Cấp ZGROUP Tác giả: Mặc Hương Đồng Khứu Người Dịch Oải Hương Tím NXB Hà Nội Kích
Combo 4 cuốn: Bản Sao + Rượu Độc + Những Kẻ Ngược Đời + Hồi Đó Chúng Ta Là Những Kẻ Ngốc Mã EAN: 2022000001237 RƯỢU ĐỘC TÁC GIẢ: Higashino Keigo Dịch giả: Rei THÔNG
Ngàn Năm Áo Mũ Ngàn năm áo mũ là một nghiên cứu công phu và đầy tham vọng của Trần Quang Đức: dựng lại bức tranh trang phục Việt Nam trong cung đình và ngoài
Combo 3 cuốn: Bản Sao + Rượu Độc + Những Kẻ Ngược Đời Mã EAN: 2022000001238 RƯỢU ĐỘC TÁC GIẢ: Higashino Keigo Dịch giả: Rei THÔNG TIN XUẤT BẢN: Giá bìa: 219.000 Kích thước: 13x20.5
Combo 3 cuốn: Rượu Độc + Những Kẻ Ngược Đời + Hồi Đó Chúng Ta Là Những Kẻ Ngốc Mã EAN: 2022000001239 RƯỢU ĐỘC TÁC GIẢ: Higashino Keigo Dịch giả: Rei THÔNG TIN XUẤT BẢN:
Thần Thoại Và Truyền Thuyết Thần thoại nảy sinh từ mối quan hệ mật thiết giữa con người với thế giới tự nhiên và thế giới tâm linh – thứ mà rất nhiều người chúng
Nhà Và Người Bìa sách nổi bật hình ảnh thiếu phụ mặc áo dài da cam bên cái trường kỷ cổ, trên nền trắng ngà, không có gì khác. Có lẽ đây là thông điệp
Phân Tích Báo Cáo Tài Chính - Cẩm Nang Dành Cho Người Thực Hành Phân tích Báo cáo Tài chính – Cẩm nang dành cho người thực hành, Ấn bản lần thứ 5 của Martin
Rumi Tinh Tuyệt - Bìa Cứng Jalal-ud-din Rumi (1207-1273) là nhà thần bí đồng thời là nhà thơ vĩ đại nhất của thế giới Islam cổ đại. Ông là nhà thần bí quan trọng trong
Lolita “Lolita, ánh sáng của đời tôi, ngọn lửa nơi hạ bộ của tôi. Tội lỗi của tôi, tâm hồn của tôi. Lo-lee-ta: đầu lưỡi lướt xuống ba bước nhỏ dọc vòm miệng, khẽ đập
Những Tù Nhân Của Địa Lý “Khi chúng ta đang vươn tới những vì sao, chính bởi những thách thức đặt ra phía trước mà chúng ta có lẽ sẽ phải chung tay để ứng
Thành Phố Và Những Bức Tường Bất Định Năm 1980, Haruki Murakami đã viết một câu chuyện về một thành phố có tường bao quanh khi ông mới ra mắt. Hơn bốn thập kỷ sau,
Rừng Na Uy Câu chuyện bắt đầu từ một chuyến bay trong ngày mưa ảm đạm, một người đàn ông 37 tuổi chợt nghe thấy bài hát gắn liền với hình ảnh người yêu cũ,
Lịch Sử Việt Nam Từ Nguồn Gốc Đến Giữa Thế Kỷ XX Tác phẩm Lịch sử Việt Nam - Từ nguồn gốc đến giữa thế kỷ XX là sự kết hợp của hai chuyên khảo
Vũ Trụ BẢY MƯƠI TUẦN TRÊN DANH MỤC SÁCH BÁN CHẠY CỦA TỜ NEW YORK TIMES MỘT TRONG NHỮNG ĐẦU SÁCH KHOA HỌC BÁN CHẠY NHẤT ĐƯỢC XUẤT BẢN BẰNG TIẾNG ANH GIẢI THƯỞNG HUGO
Kẻ Lừa Đảo Ở Khoang Hạng Nhất Anh chàng Tống Cát “tốt mã giẻ cùi” quen thói luôn lẹo bày chút mưu kế để được ngồi khoang hạng nhất một chuyến bay quốc tế, không
Tự Truyện Của Một Yogi "Xuất bản lần đầu năm 1946, gần tám mươi năm qua, Tự truyện của một yogi đã cuốn hút hàng triệu độc giả khắp nơi trên thế giới. Được đánh
Chuyến Bay Tử Thần Ngày 23 tháng 12 năm 1980, một chiếc máy bay rơi giữa vùng núi tuyết Jura. Tất cả hành khách đều thiệt mạng, trừ một bé gái ba tháng tuổi được
Tìm Ý Qua Mặt Cắt (Tái Bản 2024) Paul Lewis, Marc Tsurumaki và David J. Lewis đã đúc kết một góc nhìn mới về khái niệm “mặt cắt”, được thể hiện qua sáu mươi ba
Mưa Đỏ Ấn Bản Đặc Biệt Bìa Cứng - Kèm Hộp Trong mùa phim “Mưa Đỏ” tạo cơn sốt mạnh mẽ, không chịu đứng ngoài dòng chảy cảm xúc ấy, bản sách Mưa Đỏ –
Bộ Manga - Given: Tập 1-3 (Bộ 3 Tập) 1. Given - Tập 1 Một ngày nọ, Uenoyama bắt đầu chán ghét mọi thứ, từ trái bóng rổ từng có hứng thú đến cây guitar
Bộ Manga - Given: Tập 7 - 9 (Bộ 3 Tập) Vòng đánh giá trình diễn tuyển chọn ban nhạc tham dự lễ hội âm nhạc kết thúc, những ngã rẽ mới trên con đường
Gia Tĩnh Linh Dị Lục - Tập 2 Chỉ vừa kịp nghỉ ngơi một đêm tại Túc gia sau vụ án “Vòng Bảy Người” đầy hiểm nguy, Túc Tiển và Ninh Hoàn đã tiếp tục
Người Họ Tư Vũ Đều Phải Chết “Người họ Tư Vũ đều phải chết, đây là yêu cầu của khách hàng.” Chỉ cần trả nhiều tiền, khách hàng có thể đặt ra đủ thứ quy
Nếu Ánh Trăng Không Ôm Lấy Em THÔNG TIN TÁC GIẢ Lục Mang Tinh – một Bảo Bình nhút nhát và táo bạo, giỏi viết những câu chuyện lãng mạn. Phong cách viết của cô
Công Viên Nhỏ - Tập 2 Lạnh lùng được chia thành nhiều kiểu. Kiểu của Lý Quỳ Nhất là tràn trề sức sống như một cái cây, còn trong mắt Hạ Du Nguyên, Lý Quỳ
Lập Trình AI Cho Người Mới Bắt Đầu - Để Không Bỏ Lỡ Xu Thế Của Thời Đại GIỚI THIỆU VỀ CUỐN SÁCH Trí tuệ nhân tạo (Artificial Intelligence - AI) đang làm thay đổi
Xuân Hinh - Kẻ Chọc Cười Dân Dã Suốt một thời gian dài, không ít lần tôi nhận được lời đề nghị cho ra đời một cuốn sách về bản thân m.ình. Tôi cũng từng
Xây Dựng Đảng Và Hệ Thống Chính Trị Trong Sạch, Vững Mạnh - Góp Phần Thực Hiện Thắng Lợi Nghị Quyết Đại Hội XIII Của Đảng Cuốn sách “Xây dựng Đảng và hệ thống chính
Truyện cổ Nhật Bản được hình thành từ lâu đời và là một trong những nghệ thuật văn học dân gian lâu đời tại quốc gia này. Những câu truyện cổ tích xuất phát từ
Sứ Mệnh Hail Mary - Project Hail Mary Top 100 cuốn sách hay nhất thế kỷ 21 do độc giả New York Times bình chọn TÁC PHẨM BÁN CHẠY SỐ 1 TRÊN NEW YORK TIMES
Án Vô Danh Triều Đường - Quỷ Môn Liêu Về tác giả: Viễn Ninh là nhà văn chuyên viết tiểu thuyết trinh thám lịch sử, thành viên trực thuộc Hội nhà văn tỉnh Liêu Ninh.
Bên Kia Vùng Biển Sáng Trăng Nội dung chính Olivia Hamilton, một cô gái trong sáng và thuần khiết, như ý nguyện được kết hôn với tình yêu của đời m.ình, Dean, chàng phi công
Giả Đứng Đắn - Tập 1 Trong lúc hẹn hò, Khánh Vy thề đôi ta sẽ không rung động. Sau khi chia tay, Viết Hoàng nói xin hãy cho nhau cơ hội mở lòng. Mọi
Kiêu Hãnh Và Định Kiến Kiêu hãnh & Định kiến là một trong những kiệt tác bất hủ của Jane Austen – không chỉ kể câu chuyện tình yêu lãng mạn, mà còn phơi bày
Ngôi Làng Bị Phong Ấn GIỚI THIỆU TÁC GIẢ: NGỌC LINH Ngọc Linh là một cây bút yêu những mộng mơ và say mê chuyển hóa chất thơ vào từng câu chữ. Với lối viết
Đừng Nhặt Bạn Trai Trong Thùng Rác - Tập 7 Giới thiệu: Vốn đang đứng trên đỉnh cao của sự nghiệp, Trì Tiểu Trì đã rơi vào hôn mê sâu sau một vụ tai nạn
Mỗi Lần Tỉnh Dậy Đều Trở Thành Nghi Phạm - Tập 1 Tưởng Thiên Du là cảnh sát đặc nhiệm tại ngũ, cô bị thương nặng và rơi vào hôn mê sâu trong một lần
Bước ra từ trung tâm cai nghiện m.a túy, Mallory Quinn nhận công việc trông trẻ cho cặp vợ chồng Ted và Caroline Maxwell. Cô chăm sóc cho cậu con trai năm tuổi của họ,
Đ.ịa Cầu Online - Tập 3 Giới thiệu: Hàng loạt tòa tháp đen kỳ lạ thình lình xuất hiện trên toàn cầu, bất kỳ nơi nào, bất kỳ thành phố nào cũng có thể nhìn
Tiệm Giặt Là Nhà Minato - Tập 4 Minato Akira, chàng quản lý 30 tuổi của một tiệm giặt là, bị cậu học sinh cấp ba Shin theo đuổi quyết liệt. Không thể đáp lại
Khế Ước Bán Dâu Bước chân vào làm dâu nhà phú hộ họ Vũ nức tiếng vùng Kinh Bắc, cô gái thôn quê Nhài ôm ước vọng đổi đời. Thế nhưng, dưới lụa là gấm
Triệu Phú Khu Ổ Chuột Tại sao một bồi bàn không xu dính túi tại Mumbai lại phải ngồi sau song sắt nhà tù? Đó là vì: a)Anh ta đã đánh khách hàng; b) Anh
Couple Này Chú Không Ship Sao - Tập 2 Trải qua bao phen chật vật giấu giếm rồi lại lộ bí mật, Giản Minh Chu ngỡ rằng cuộc sống của m.ình có thể bình lặng
Vị Ngây Thơ Một tên tội phạm đang săn lùng những thiếu nữ tuổi vị thành niên, nhưng hắn không chọn mục tiêu ngẫu nhiên mà chỉ những cô gái trẻ còn trong trắng mới
Cuộc Hội Ngộ Văn Chương Và Nghệ Thuật - Văn Học Và Các Loại Hình Nghệ Thuật Khác Những năm bảy mươi của thế kỷ trước, ngành giáo dục nước ta chưa có hệ đào
SÓI GIÀ Phố Wall - Phần 2 Cuốn hồi ký không nên đọc ngắt quãng được viết bởi “Chủ nhân trẻ của vũ trụ phố Wall” Sói già Phố Wall là cuốn tự truyện của
Chân Tướng Thất Lạc CHÂN TƯỚNG THẤT LẠC của Lộ Hiểu mở ra cánh cửa dẫn người đọc bước vào những câu chuyện bí ẩn xoay quanh những vùng đất và sự kiện kỳ lạ
Dưới Bóng Trăng Ngà - Câu Chuyện Về Chuyến Phiêu Lưu Của Bé Thỏ Cải Xoong Mang âm hưởng và tinh thần vượt thời gian của tác phẩm kinh điển Gió qua rặng liễu, cuốn
THÔNG TIN TÁC PHẨM - Tên tác phẩm: Linh Điểu - Tác giả/Dịch giả: Nguyễn Văn Học - Thương Hiệu: SBOOKS - Nhà xuất bản: NXB Văn Học - Năm xuất bản: 2025 - Loại
Closed Casket - Áo Quan Đóng Nắp Sophie Hannah, tác giả được chọn chắp bút bà hoàng trinh thám Agatha Christie, đưa thám tử đại tài Hercule Poirot tái hợp thanh tra Edward Catchpool —
Ma Trùng - Tập 2 - Đen Trắng Cơn ác mộng bốn năm trước lại tái diễn! Thành phố xảy ra vụ giết người hàng loạt, ba nạn nhân liên tiếp đều là phụ nữ
Cánh Chim Bất Tử - Câu Chuyện Về Người Phi Công Huyền Thoại Nguyễn Văn Bảy “Cánh Chim Bất Tử - Câu chuyện về phi công huyền thoại Nguyễn Văn Bảy” là cuốn sách chân
Thiên Quan Tứ Phúc - Tập 2 Sau khi giải quyết vụ Quỷ tân lang ở núi Dữ Quân, Tạ Liên chọn một ngôi nhà bỏ hoang ở thôn Bồ Tề làm đạo quán cho
Thiên Quan Tứ Phúc - Tập 2 Sau khi giải quyết vụ Quỷ tân lang ở núi Dữ Quân, Tạ Liên chọn một ngôi nhà bỏ hoang ở thôn Bồ Tề làm đạo quán cho
Anne Tóc Đỏ Làng Avonlea Mới ngày nào cô bé Anne mặt tàn nhang và dễ kích động vừa mới đặt chân lên đảo Hoàng Tử Edward đã gây bao xôn xao, xáo trộn. Vậy
Ký Sự Pháp Y - Khi Tử Thi Kể Chuyện Bạn nghĩ một cuốn sách viết về cái chết sẽ chỉ toàn một màu u ám và rùng rợn? Vậy thì Ký Sự Pháp Y
Những Cánh Thư Ra Bắc Vào Nam “Những cánh thư ra Bắc vào Nam” là tập hợp 73 bức thư của Đại tướng Nguyễn Chí Thanh và gia đình, viết trong gần 20 năm (1948–1967),
Liệu Có Sai Lầm Khi Tìm Kiếm Cuộc Gặp Gỡ Định Mệnh Trong Dungeon - Tập 11 Danh tiếng của Little Rookie đã rớt xuống đáy vực. Bell đã đánh mất niềm tin của mọi
Tổng Ôn Địa Lí - Tập 1 1. Nội dung sách: Bộ sách được chia làm 2 tập: - Tập 1: Số liệu - Biểu đồ , địa lí tự nhiên địa lí dân cư
Trang đầu 1 2 3 4 5 6 7 8 9 10 11 12 13 14 15 16 17 18 19 20 21 22 23 24 25 26 27 28 29 30 31 32 33 34 35 36 37 38 39 40 41 42 43 44 45 46 47 48 49 50 Trang cuối
👁️ 169 | ⌚2025-10-07 11:52:52.430
TÓM TẮT TOÀN BỘ TOÁN 12 ÔN THI TỐT NGHIỆP -CTM 2025
🔹 [Livestream] - CHỮA ĐỀ CHÍNH THỨC TOÁN 2022 - Đề số 1 - Tài liệu tham khảo đắt giá cho kỳ thi 2023
CHỮA ĐỀ MINH HỌA 2023 - MÔN TOÁN | Thầy Nguyễn Tiến Đạt
Toán học lớp 12 - Sách mới - Ôn tập thi tốt nghiệp và đại học THPT - Chủ đề 1 - Xác suất - Tiết 2
Toán học lớp 12 - Sách mới - Ôn tập thi tốt nghiệp và đại học THPT - Chủ đề 1 - Xác suất - Tiết 1
Tuyển Tập 38 Đề Ôn Thi Tốt Nghiệp Lớp 12 Môn Toán

QC Shopee
4P's có nghĩa "For Peace" - cho Hòa Bình tràn ngập trên toàn thế giới. Tham vọng ở Pizza 4P's không chỉ đơn giản là "Một nhà hàng Pizza tuyệt vời" mà chúng tôi có
Le Monde Steak là hệ thống Bít Tết theo phong cách thành thị Pháp đầu tiên tại Việt Nam, nơi thực khách tự do trải nghiệm những món ăn mang hương vị Pháp đầy lôi
Sôi nổi, phóng khoáng, vui nhộn chính là tinh thần mà Yakimono – Quán thịt nướng Nhật Bản muốn mang đến cho bạn. Trái ngược với khung cảnh yên bình bên ngoài, chỉ cần đẩy
Hoa Yêu Thương là bông hoa được ghép từ nhiều trái tim với mong muốn kêu gọi mọi người hãy chia sẻ yêu thương nhiều hơn. Cuộc sống sẽ tốt hơn rất nhiều nếu chúng
Gyu-Kaku nhập thịt tươi và cắt từng lát một tại nhà hàng để đảm bảo độ tươi ngon. Nước tương và miso truyền thống Nhật Bản chúng tôi dùng cho sốt và ướp thịt kĩ
Hạn sử dụng: 2025-12-31 00:00:00 Potico là điện hoa chuyên cung cấp bó hoa yêu thương và quà tặng ý nghĩa hàng đầu tại Việt Nam. Potico luôn miễn phí giao hàng trong khu vực
Nếu bạn là người Hàn Quốc sinh sống hoặc làm việc xa nhà, bạn nên ghé qua Butoomac để cảm nhận hương vị quê hương. Đây là những nhà hàng rất nổi tiếng ở Hà
Ra mắt thương hiệu tại Hà Nội với cơ sở đầu tiên Hàng Bông vào năm 2016, hiện nay, Don Chicken đã có 14 cửa hàng tại Hà Nội, Quảng Ninh, Bắc Ninh, Thanh Hóa
MIYEN - Nét chấm phá Nhật Bản tinh tế đầy duy mỹ. Miyen Japanese Fusion Cuisine mong muốn đem đến cho Quý Thực khách trải nghiệm bầu không khí giao thời của một đất nước
Với phương châm: “Nơi ẩm thực Hồng Kông được tôn vinh và chăm chút. Chúng tôi mang đến quý khách sự trải nghiệm tuyệt đối từ vị giác đến văn hóa ẩm thực”. Baoz Dimsum
A Mà Kitchen - Stay Vietnam, Taste HongKong Trở về Hồng Kông 40 năm trước, A Mà - Bà Nội của một gia đình Trung Hoa là người luôn tận tụy chăm lo từng bữa
Thương hiệu bánh donut thơm ngon, và những ly cà phê đậm đà, mang đến không gian thân thiện để kết nối mọi người. CRISPY DONUTS luôn cập nhật hương vị mới, đảm bảo mỗi
Đến Hệ thống tiNiWorld, các bậc phụ huynh hoàn toàn có thể yên tâm vì con yêu của mình được bảo vệ an toàn nhất. Tất cả các thiết bị đồ chơi tại đây đều
BORNGA VIỆT NAM: Là chi nhánh thuộc thương hiệu và chuỗi hệ thống nhà hàng nổi tiếng toàn cầu Bornga, Bornga Việt Nam hân hạnh phục vụ những món ăn mang đậm nét truyền thống
Otoké Chicken tự hào là thương hiệu gà rán của Việt Nam - được đầu tư và quản lý bởi Quỹ đầu tư VI (VIGroup) – một công ty quản lý quỹ chuyên nghiệp, chuyên
Với sự ra đời của cửa hàng đầu tiên tại Việt Nam vào năm 2007, chuỗi cửa hàng TOUS les JOURS khẳng định vị trí dẫn đầu trong phân khúc cao cấp bánh và cà
Bạn đang lên kế hoạch cho một bữa tiệc ấm cúng, một buổi hẹn hò hay một buổi liên hoan cuối năm? Đừng bỏ lỡ voucher tiền mặt từ Ssamjang - Nướng & Cuốn Chợ
Shang Chi - Taiwanese Rotary Hotpot là con tàu trải nghiệm và khám phá thiên đường lẩu Đài Loan đầy màu sắc và đa dạng. Shang Chi cũng là sự giao thoa giữa yếu tố
Không gian rộng rãi và sạch sẽ, nhân viên thân thiện, nhiệt tình chắc chắn là điểm đến lý tưởng cho một cuộc hẹn tại Spicy Box. Đến với Spicy Box bạn sẽ được hóa